Exercícios para o ENEM (243)
Foram encontradas 6013 questões
A principal explicação para a grande variedade de espécies na...
anagênese.
coevolução.
evolução alopátrica.
evolução simpátrica.
convergência adaptativa.
O etanol é um combustível renovável obtido da cana-de-açúcar e é...
565 MJ.
452 MJ.
520 kJ.
390 kJ.
348 kJ.
O ácido ricinoleico, um ácido graxo funcionalizado, cuja...
refração.
reflexão.
difração.
giro levógiro.
giro destrógiro.
Na perfuração de uma jazida petrolífera, a pressão dos gases faz...
decantação.
evaporação.
destilação.
floculação.
filtração.
A figura mostra a curva de saturação da hemoglobina e da mioglobina...

A concentração de oxigênio no sangue diminuirá.
A capacidade de produção de hemoglobina diminuirá.
A distribuição do oxigênio por todo o organismo será homogênea.
A transferência do oxigênio do sangue para o tecido muscular será prejudicada.
A hemoglobina do tecido muscular apresentará maior afinidade que a presente no sangue.
Uma das formas de se obter energia elétrica é usar uma lente...
0,28
0,32
0,40
0,80
1,11
Em uma residência com aquecimento central, um reservatório é...

1 e 4.
1 e 6.
2 e 5.
3 e 4.
3 e 5.
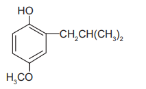
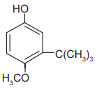
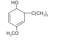
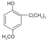
O 2-BHA é um fenol usado como antioxidante para retardar a...





A ação de uma nova droga antitumoral sobre o citoesqueleto foi...
A ação de uma nova droga antitumoral sobre o
citoesqueleto foi investigada. O pesquisador comparou
o efeito da droga na velocidade de deslocamento celular
e na integridade de filamentos do córtex celular e de
flagelos, conforme apresentado na figura.

O pesquisador concluiu que a droga age sobre os
microtúbulos apenas.
filamentos de actina apenas.
filamentos intermediários apenas.
filamentos de actina e microtúbulos.
filamentos de actina e filamentos intermediários.
Um pesquisador observou, em uma árvore, um ninho de uma espécie de...

1
2
3
4
5