Nossas Matérias
Últimas Matérias
Mais Populares
Conteúdos Escolares em Destaque
Independência do Brasil
Conheça o processo da Independência do Brasil, que inclui a vinda da Família Real ao Brasil, a Revolução Pernambucana e o...
Citação direta e indireta
Citação direta é aquela que transcreve parte de uma obra, com as palavras do autor. Quando usamos esse tipo de citação...
Articulações do Corpo Humano
Conheça as principais articulações do corpo humano e os movimentos que realizam. Veja ainda os tipos, onde são encontradas e...
Beisebol
Saiba os fundamentos e as regras do beisebol. Leia sobre os equipamentos e algumas curiosidades desse esporte.
Fichamento
O fichamento é um registro feito em fichas. Nele se resume as ideias principais de um texto, que pode ser um livro, ou parte...
Animais do Cerrado
O Cerrado é um dos biomas do Brasil que ocupa cerca de 25% do território nacional com uma área de aproximadamente 2 milhões de...
Molécula
Molécula é um grupamento estável de dois ou mais átomos iguais ou diferentes unidos através de ligações covalentes.
Consequências da Segunda Guerra Mundial
A Segunda Guerra Mundial, ocorrida entre 1939 e 1945, deixou milhares de mortos, incontáveis feridos e redefiniu o equilíbrio de...
Desenvolvimento Embrionário Humano
O desenvolvimento do embrião humano começa com a formação do zigoto, que após passar por muitas divisões celulares...
Matriz Inversa
Saiba o que é e como fazer o cálculo da matriz inversa. Conheça suas propriedades, veja exemplos e alguns exercícios de...
Artrópodes
Artrópodes ( filo Arthropoda ) são animais dotados de patas articuladas e que possuem esqueleto externo (exoesqueleto)...
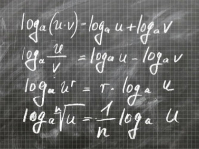
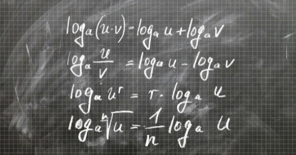
Fórmulas de Física
Veja em um só lugar todas as principais fórmulas de Física divididas por conteúdo. Conheça o significado de cada grandeza e a...
