Exercícios para o ENEM (336)
Foram encontradas 6013 questões
Ao analisar os dados de uma epidemia em uma cidade, peritos obtiveram...
Ao analisar os dados de uma epidemia em uma cidade, peritos obtiveram um modelo que avalia a quantidade de pessoas infectadas a cada mês, ao longo de um ano. O modelo é dado por p(t) = -t2 + 10t + 24, sendo t um número natural, variando de 1 a 12, que representa os meses do ano, e p(t) a quantidade de pessoas infectadas no mês t do ano. Para tentar diminuir o número de infectados no próximo ano, a Secretaria Municipal de Saúde decidiu intensificar a propaganda oficial sobre os cuidados com a epidemia. Foram apresentadas cinco propostas (I, II, IIl, IV e V), com diferentes períodos de intensificação das propagandas:
• I: 1 ≤ t ≤ 2;
• II: 3 ≤ t ≤ 4;
• III: 5 ≤ t ≤ 6;
• IV: 7 ≤ t ≤ 9;
• V: 10 ≤ t ≤ 12;
A sugestão dos peritos é que seja escolhida a proposta cujo período de intensificação da propaganda englobe o mês em que, segundo o modelo, há a maior quantidade de infectados. A sugestão foi aceita.
A proposta escolhida foi a
I.
II.
III.
IV.
V.
Um prédio, com 9 andares e 8 apartamentos de 2 quartos por andar,...
Um prédio, com 9 andares e 8 apartamentos de 2 quartos por andar, está com todos os seus apartamentos à venda. Os apartamentos são identificados por números formados por dois algarismos, sendo que a dezena indica o andar onde se encontra o apartamento, e a unidade, um algarismo de 1 a 8, que diferencia os apartamentos de um mesmo andar. Quanto à incidência de sol nos quartos desses apartamentos, constatam-se as seguintes características, em função de seus números de identificação:
- • naqueles que finalizam em 1 ou 2, ambos os quartos recebem sol apenas na parte da manhã;
- • naqueles que finalizam em 3,4, 5 ou 6, apenas um dos quartos recebe sol na parte da manhã:
- • naqueles que finalizam em 7 ou 8, ambos os quartos recebem sol apenas na parte da tarde.
Uma pessoa pretende comprar 2 desses apartamentos em um mesmo andar, mas quer que, em ambos, pelo menos um dos quartos receba sol na parte da manhã.
De quantas maneiras diferentes essa pessoa poderá escolher 2 desses apartamentos para compra nas condições desejadas?
Em janeiro de 2013, foram declaradas 1794 272 admissões e 1 765 372...
Em janeiro de 2013, foram declaradas 1794 272 admissões e 1 765 372 desligamentos no Brasil, ou seja, foram criadas 28 900 vagas de emprego, segundo dados do Cadastro Geral de Empregados e Desempregados ( Caged), divulgados pelo Ministério do Trabalho e Emprego (MTE). Segundo o Caged, o número de vagas criadas em janeiro de 2013 sofreu uma queda de 75%, quando comparado com o mesmo período de 2012.
Disponível em: http://portal.mte.gov.br . Acesso em: 23 fev 2013 (adaptado)
De acordo com as informações dadas, o número de vagas criadas em janeiro de 2012 foi
16 514.
86 700.
115 600.
441 343.
448 568.
Uma empresa produz e vende um tipo de chocolate, maciço, em formato...
Uma empresa produz e vende um tipo de chocolate, maciço, em formato de cone circular reto com as medidas do diâmetro da base e da altura iguais a 8 cm e 10 cm, respectivamente, como apresenta a figura.

Devido a um aumento de preço dos ingredientes utilizados na produção desse chocolate, a empresa decide produzir esse mesmo tipo de chocolate com um volume 19% menor, no mesmo formato de cone circular reto com altura de 10cm.
Para isso, a empresa produzirá esses novos chocolate com medida do raio da base, em centímetro, igual a
1,52.
3,24.
3,60.
6,48.
7,20.
Em uma sala de cinema, para garantir que os espectadores vejam toda a...
Em uma sala de cinema, para garantir que os espectadores vejam toda a imagem projetada na tela, a disposição das poltronas deve obedecer à norma técnica da Associação Brasileira de Normas Técnicas (ABNT), que faz as seguintes indicações:
• Distância mínima (Dmin.) entre a tela de menos, 60% da largura (L) da tela.
• Distância máxima (Dmáx.) entre a tela de projeção e o encosto da poltrona da última fileira deve ser o dobro da largura (L) da tela, sendo aceitável uma distância de até 2,9 vezes a largura (L) da tela.
Para o espaçamento entre as fileiras de poltronas, poltronas em duas fileiras consecutivas. projeção e o encosto da poltrona da primeira fileira deve ser de, pelo é considerada a distância de 1 metro entre os encostos de poltronas em duas fileiras consecutivas.
Disponível em: www.ctav.gov.br. Acesso em: 14 nov. 2013.
Uma sala de cinema, cuja largura da tela mede 12 m, está montada em conformidade com as normas da ABNT e tem suas dimensões especificadas na figura.

Pretende-se ampliar essa sala, mantendo-se na mesma posição a tela e todas as poltronas já instaladas, ampliando-se ao máximo a sala para os fundos (área de instalação de novas poltronas), respeitando-se o limite aceitável da norma da ABNT. A intenção é aumentar, ao máximo, a quantidade de poltronas da sala, instalando-se Novas unidades, iguais às já instaladas.
Quantas fileiras de poltronas a sala comportará após essa ampliação?
26
27
28
29
35
Um médico faz o acompanhamento clínico de um grupo de pessoas que...
Um médico faz o acompanhamento clínico de um grupo de pessoas que realizam atividades físicas diariamente. Ele observou que a perda média de massa dessas pessoas para cada hora de atividade física era de 1,5 kg. Sabendo que a massa de 1L de água é de 1 kg, ele recomendou que ingerissem, ao longo das 3 horas seguintes ao final da atividade, uma quantidade total de água correspondente a 40% a mais do que a massa perdida na atividade física, para evitar desidratação.
Seguindo a recomendação médica, uma dessas pessoas ingeriu, certo dia, um total de 1,7 L de água após terminar seus exercícios físicos.
Para que a recomendação médica tenha efetivamente sido respeitada, a atividade física dessa pessoa, nesse dia, durou
30 minutos ou menos.
mais de 35 e menos de 45 minutos.
mais de 45 e menos de 55 minutos.
mais de 60 e menos de 70 minutos.
70 minutos ou mais.
Os resultados de um ensaio clínico randomizado na Indonésia...
Os resultados de um ensaio clínico randomizado na Indonésia apontaram uma redução de 77% dos casos de dengue nas áreas que receberam o mosquito Aedes aegypti infectado com a bactéria Wolbachia. Trata-se da mesma técnica utilizada no Brasil pelo Método Wolbachia, iniciativa conduzida pela Fundação Oswaldo Cruz — Fiocruz. Essa bactéria induz a redução da carga viral no mosquito e, consequentemente, o número de casos de dengue na área, sendo repassada por meio do cruzamento entre os insetos. Como essa bactéria é um organismo intracelular e o vírus também precisa entrar nas células para se reproduzir, ambos necessitarão de recursos comuns.
COSTA, G. Agência Fiocruz de Notícias. Estudo confirma eficácia do Método Wolbachia para dengue. Disponivel em: https:Jiportal.fiocruz br. Acesso em: 3 jun. 2022 (adaptado).
Essa tecnologia utilizada no combate à dengue consiste na
predação do virus pela bactéria.
esterilização de mosquitos infectados.
alteração no genótipo do mosquito pela bactéria.
competição do vírus e da bactéria no hospedeiro.
inserção de material genético do vírus na bactéria.
De modo geral, a palavra “aromático” invoca associações...
De modo geral, a palavra “aromático” invoca associações agradáveis, como cheiro de café fresco ou de um pão doce de canela. Associações similares ocorriam no passado da história da química orgânica, quando os compostos ditos “aromáticos apresentavam um odor agradável e foram isolados de óleos naturais. À medida que as estruturas desses compostos eram elucidadas, foi se descobrindo que vários deles continham uma unidade estrutural específica. Os compostos aromáticos que continham essa unidade estrutural tomaram-se parte de uma grande família, muito mais com base em suas estruturas eletrônicas do que nos seus cheiros, como as substâncias a seguir, encontradas em óleos vegetais.

A característica estrutural dessa família de compostos é a presença de
ramificações.
insaturações.
anel benzênico.
átomos de oxigênio.
carbonos assimétricos.
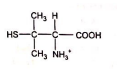
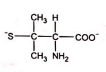
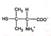
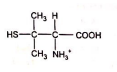
A penicilamina é um medicamento de uso oral utilizado no tratamento...
A penicilamina é um medicamento de uso oral utilizado no tratamento de várias doenças. Esse composto é excretado na urina, cujo pH se situa entre 5 e 7. A penicilamina, cuja fórmula estrutural plana está apresentada, possui três grupos funcionais que podem ser ionizados:
• carboxila: —COOH, cujo pKa é igual a 1,8;
• amino: —NH2, que pode ser convertido em amínio (—NH3+, cujo pKa é igual a 7,9);
• tiol: —SH, cujo pKa é igual a 10,5.
Sabe-se que pKa = -log Ka.

Qual estrutura derivada da penicilamina é predominantemente encontrada na urina?





Em um autódromo, os carros podem derrapar em uma curva e bater na...
Em um autódromo, os carros podem derrapar em uma curva e bater na parede de proteção. Para diminuir o impacto de uma batida, pode-se colocar na parede uma barreira de pneus, isso faz com que a colisão seja mais demorada e o carro retorne com velocidade reduzida. Outra opção é colocar uma barreira de blocos de um material que se deforma, tornando-a tão demorada quanto a colisão com os pneus, mas que não permite a volta do carro após a colisão.
Comparando as duas situações, como ficam a força média exercida sobre o carro e a energia mecânica dissipada?