Exercícios para o ENEM (175)
Foram encontradas 6013 questões
A figura apresenta a comparação dos gastos de três tipos de...
A figura apresenta a comparação dos gastos de três tipos de lâmpadas residenciais de mesmo brilho, durante cinco anos. Considera-se a utilização média de vinte pontos de luz, utilizando em média dez lâmpadas acesas durante 6 horas ao custo de R$ 0,30, para cada 1 kWh consumido.

fluorescente compacta, LED, LED.
LED, fluorescente compacta, LED.
fluorescente compacta, incandescente, LED.
LED, incandescente, fluorescente compacta.
fluorescente compacta, fluorescente compacta, LED.
O bisfenol-A é um composto que serve de matéria-prima para a...
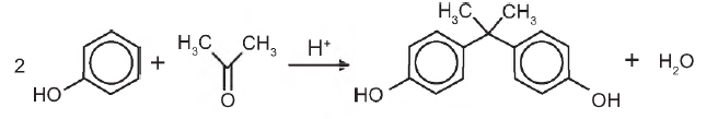
O bisfenol-A é um composto que serve de matéria-prima para a fabricação de polímeros utilizados em embalagens plásticas de alimentos, em mamadeiras e no revestimento interno de latas. Esse composto está sendo banido em diversos países, incluindo o Brasil, principalmente por ser um mimetizador de estrógenos (hormônios) que, atuando como tal no organismo, pode causar infertilidade na vida adulta. O bisfenol-A (massa molar igual a 228 g/mol) é preparado pela condensação da propanona (massa molar igual a 58 g/mol) com fenol (massa molar igual a 94 g/mol), em meio ácido, conforme apresentado na equação química.

0,025%.
0,05%.
12,5%.
25%.
50%.
Um método para determinação do teor de etanol na gasolina consiste...
Um método para determinação do teor de etanol na gasolina consiste em misturar volumes conhecidos de água e de gasolina em um frasco específico. Após agitar o frasco e aguardar um período de tempo, medem-se os volumes das duas fases imiscíveis que são obtidas: uma orgânica e outra aquosa. O etanol, antes miscível com a gasolina, encontra-se agora miscível com a água.
Para explicar o comportamento do etanol antes e depois da adição de água, é necessário conhecer
a densidade dos líquidos.
o tamanho das moléculas.
o ponto de ebulição dos líquidos.
os átomos presentes nas moléculas.
o tipo de interação entre as moléculas.
No Brasil e no mundo têm surgido movimentos e leis para banir o uso...
apresentam muitas insaturações.
contêm carbono em sua composição.
são formadas por elementos de alta massa atômica.
são muito longas e formadas por ligações químicas fortes.
têm origem no petróleo, que é uma matéria-prima não renovável.
Fusíveis são dispositivos de proteção de um circuito elétrico,...
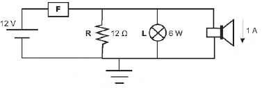
Fusíveis são dispositivos de proteção de um circuito elétrico, sensíveis ao excesso de corrente elétrica. Os modelos mais simples consistem de um filamento metálico de baixo ponto de fusão, que se funde quando a corrente ultrapassa determinado valor, evitando que as demais partes do circuito sejam danificadas. A figura mostra um diagrama de um circuito em que o fusível F protege um resistor R de 12 Ω, uma lâmpada L de 6 W e um alto-falante que conduz 1 A.

1,0
1,5
2,0
2,5
3,0
O Brasil tem investido em inovações tecnológicas para a produção...
formação do fruto.
crescimento do fruto.
amadurecimento do fruto.
germinação das sementes.
formação de sementes no fruto.
Surtsey é uma ilha vulcânica situada perto da costa sul da...
Surtsey é uma ilha vulcânica situada perto da costa sul da Islândia. A erupção vulcânica que lhe deu origem ocorreu na década de 1960, o que faz dela, seguramente, a ilha mais nova do Oceano Atlântico. As primeiras espécies que aí se fixaram foram musgos e liquens. À medida que as aves foram fixando-se na ilha, as condições do solo foram melhorando e espécies vegetais mais complexas puderam iniciar a colonização do território. Em 1988 foi observada a presença do primeiro arbusto.
Disponível em: www.nacopadasarvores.blogspot.com.br. Acesso em: 25 maio 2012 (fragmento).
O conjunto das alterações ocorridas no ambiente descrito
é exemplo de
nicho ecológico.
eficiência ecológica.
sucessão ecológica.
irradiação adaptativa.
resistência ambiental.
Água dura é aquela que contém concentrações relativamente altas...
Água dura é aquela que contém concentrações relativamente altas de íons Ca2+ e Mg2+ dissolvidos. Apesar de esses íons não representarem risco para a saúde, eles podem tornar a água imprópria para alguns tipos de consumo doméstico ou industrial. Objetivando reduzir a concentração de íons Ca2+ e Mg2+ de uma amostra de água dura ao mínimo possível, um técnico em química testou os seguintes procedimentos no laboratório:
I - Decantação da amostra de água.
II - Filtração da amostra de água.
III - Aquecimento da amostra de água.
IV - Adição do solvente orgânico CCl4 à amostra de água.
V - Adição de CaO e Na2CO3 à amostra de água.
BROWN, T L. et al. Química, a ciência central. São Paulo: Pearson Prentice Hall, 2005 (adaptado).
O método considerado viável para tratar a água dura e
aumentar seu potencial de utilização é o(a)
decantação, pois permite que esses íons se depositem no fundo do recipiente.
filtração, pois assim os íons Ca2+ e Mg2+ são retidos no filtro e separados da água.
Na Antiguidade, algumas pessoas acreditavam que, no lançamento...
Na Antiguidade, algumas pessoas acreditavam que, no lançamento oblíquo de um objeto, a resultante das forças que atuavam sobre ele tinha o mesmo sentido da velocidade em todos os instantes do movimento. Isso não está de acordo com as interpretações científicas atualmente utilizadas para explicar esse fenômeno.
Desprezando a resistência do ar, qual é a direção e o sentido do vetor força resultante que atua sobre o objeto no ponto mais alto da trajetória?
Indefinido, pois ele é nulo, assim como a velocidade vertical nesse ponto.
Vertical para baixo, pois somente o peso está presente durante o movimento.
O álcool comercial (solução de etanol) é vendido na concentração...
O álcool comercial (solução de etanol) é vendido na concentração de 96%, em volume. Entretanto, para que possa ser utilizado como desinfetante, deve-se usar uma solução alcoólica na concentração de 70%, em volume. Suponha que um hospital recebeu como doação um lote de 1 000 litros de álcool comercial a 96%, em volume, e pretende trocá-lo por um lote de álcool desinfetante.
Para que a quantidade total de etanol seja a mesma nos dois lotes, o volume de álcool a 70% fornecido na troca deve ser mais próximo de
1 042 L.
1 371 L.
1 428 L.
1 632 L.
1 700 L.