Exercícios para o ENEM (275)
Foram encontradas 6013 questões
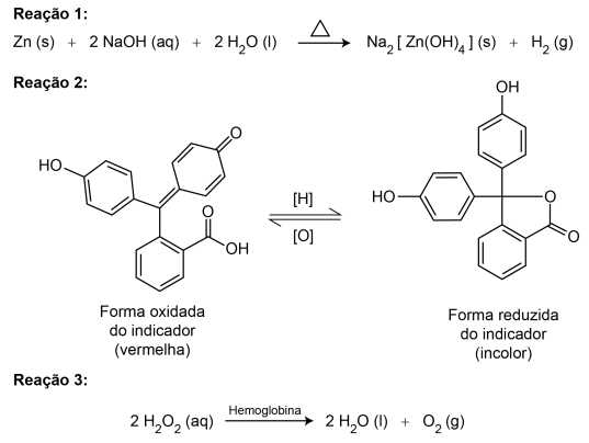
O reagente conhecido como Kastle-Meyer é muito utilizado por...

sal de Na2[Zn(OH)4] na presença de hemoglobina.
água produzida pela decomposição da água oxigenada.
hemoglobina presente na reação com a água oxigenada.
gás oxigênio produzido pela decomposição da água oxigenada.
gás hidrogênio produzido na reação do zinco com hidróxido de sódio.
Acredita-se que os olhos evoluíram de órgãos sensores de luz para...
Acredita-se que os olhos evoluíram de órgãos sensores de luz para versões que formam imagens. O olho humano atua como uma câmera, coletando, focando e convertendo a luz em sinal elétrico, que é traduzido em imagens pelo cérebro. Mas em vez de um filme fotográfico, é uma retina que detecta e processa os sinais, utilizando células especializadas. Moluscos cefalópodes (como as lulas) possuem olhos semelhantes aos dos humanos, apesar da distância filogenética.
LAMB, T. D. A fascinante evolução do olho: cientistas já têm uma visão clara de como surgiram nossos olhos tão complexos. Scientific American Brasil, ed. 111, ago. 2011 (adaptado).
A comparação dos olhos mencionada representa que tipo de evolução?
Aleatória
Homóloga
Divergente
Progressiva
Convergente
Em uma das etapas do processo de produção de iogurte, esquematizado...
Em uma das etapas do processo de produção de iogurte, esquematizado na figura, ocorre a mudança da consistência característica do leite, de líquido para gel.

ROBERT, N. R. Disponível em: www.respostatecnica.org.br. Acesso em: 26 fev. 2012 (adaptado).
Em qual etapa ocorre essa mudança de consistência?
1
2
3
4
5
A combustão completa de combustíveis fósseis produz água e...
80% menor.
60% menor.
46% menor.
108% maior
66% maior.
Pesquisadores delimitaram Unidades Evolutivas Significativas (UES) de...
Pesquisadores delimitaram Unidades Evolutivas Significativas (UES) de cinco espécies pertencentes a diferentes grupos de vertebrados, distribuídos em oito áreas distintas, como mostra o quadro. Cada UES representa uma população isolada histórica e geneticamente diferenciada e apresenta prioridade para manejo e conservação.

MIRANDA, N. E. O.; ALMEIDA JR., E. B.; COLLEVATTI, R. G. Priorizando áreas para a conservação com base em Unidades Evolutivas Significativas (ESU). Genética na Escola, n.1, 2015 (adaptado).
Considerando a área 4, a espécie que terá prioridade nas estratégias de conservação pertence
a que grupo?
Ave
Anfíbio
Roedor
Lagarto
Morcego
O leite UHT (do inglês Ultra-High Temperature ) é o leite tratado...
O leite UHT (do inglês Ultra-High Temperature) é o leite tratado termicamente por um processo que recebe o nome de ultrapasteurização. Elevando sua temperatura homogeneamente a 135 °C por apenas 1 ou 2 segundos, o leite é esterilizado sem prejudicar significativamente seu sabor e aparência. Desse modo, ele pode ser armazenado, sem a necessidade de refrigeração, por meses. Para alcançar essa temperatura sem que a água que o compõe vaporize, o leite é aquecido em alta pressão. É necessário, entretanto, resfriar o leite rapidamente para evitar o seu cozimento. Para tanto, a pressão é reduzida subitamente, de modo que parte da água vaporize e a temperatura diminua.
O processo termodinâmico que explica essa redução súbita de temperatura é a
convecção induzida pelo movimento de bolhas de vapor de água.
emissão de radiação térmica durante a liberação de vapor de água.
expansão livre do vapor de água liberado pelo leite no resfriamento.
conversão de energia térmica em energia química pelas moléculas orgânicas.
transferência de energia térmica durante a vaporização da água presente no leite.
Uma nova e revolucionária técnica foi desenvolvida para a edição...
Uma nova e revolucionária técnica foi desenvolvida para a edição de genomas. O mecanismo consiste em um sistema de reconhecimento do sítio onde haverá a mudança do gene combinado com um mecanismo de corte e reparo do DNA. Assim, após o reconhecimento do local onde será realizada a edição, uma nuclease corta as duas fitas de DNA. Uma vez cortadas, mecanismos de reparação do genoma tendem a juntar as fitas novamente, e nesse processo um pedaço de DNA pode ser removido, adicionado ou até mesmo trocado por outro pedaço de DNA.
Nesse contexto, uma aplicação biotecnológica dessa técnica envolveria o(a)
diagnóstico de doenças.
identificação de proteínas.
rearranjo de cromossomos.
modificação do código genético.
correção de distúrbios genéticos.
A perfuração de poços para a extração de petróleo causa...
A perfuração de poços para a extração de petróleo causa soterramento do leito submarino, contaminação química e aumento da turbidez da água. Além disso, o vazamento desses hidrocarbonetos gera efeitos adversos, em especial no metabolismo de organismos aquáticos, influenciando as cadeias alimentares de ecossistemas marinhos. Essas consequências negativas advêm das propriedades do petróleo, uma mistura oleosa de substâncias orgânicas, de coloração escura e menos densa que a água.
A consequência do vazamento dessa mistura na produtividade primária do ecossistema é o(a)
redução da atividade do fitoplâncton, em decorrência da alteração na zona fótica.
intoxicação dos animais filtradores, em decorrência da absorção de óleo.
bioacumulação do óleo no zooplâncton, por causa da sua agregação.
mortandade dos peixes, causada pela obstrução das suas brânquias.
dizimação da população de bentônicos, pelo seu soterramento.
As populares pilhas zinco-carbono (alcalinas e de Leclanché) são...
As populares pilhas zinco-carbono (alcalinas e de Leclanché) são compostas por um invólucro externo de aço (liga de ferro-carbono), um ânodo (zinco metálico), um cátodo (grafita) e um eletrólito (MnO2 mais NH4Cl ou KOH), contido em uma massa úmida com carbono chamada pasta eletrolítica. Os processos de reciclagem, geralmente propostos para essas pilhas usadas, têm como ponto de partida a moagem (trituração). Na sequência, uma das etapas é a separação do aço, presente no invólucro externo, dos demais componentes.
Que processo aplicado à pilha moída permite obter essa separação?
Catação manual
Ação de um eletroímã
Calcinação em um forno
Fracionamento por densidade
Dissolução do eletrólito em água
O adaptador de tomada tipo T (Figura 1) é um acessório utilizado em...
O adaptador de tomada tipo T (Figura 1) é um acessório utilizado em domicílios para ligar vários aparelhos eletrodomésticos em uma única tomada. Conectar três aparelhos de alta potência em um mesmo adaptador pode superaquecê-lo e, consequentemente, provocar um incêndio. O circuito da Figura 2A representa um aparelho de resistência elétrica R ligado ao adaptador de resistência elétrica r. Na Figura 2B está representado um circuito com três aparelhos de resistência elétrica R ligados ao mesmo adaptador. Em ambos os circuitos, os pontos C e D são os terminais de uma mesma tomada elétrica. Considere todos os resistores ôhmicos.

Comparando-se a Figura 2B com a Figura 2A, verifica-se que o possível superaquecimento do
adaptador de tomada acontece em decorrência do aumento da
tensão em R.
corrente em R.
tensão entre C e D.
corrente entre C e D.
resistência equivalente entre C e D.