Exercícios para o ENEM (276)
Foram encontradas 6013 questões
Bienalsur: una invitación a cruzar las fronteras Un dedo nos señala,...
Bienalsur: una invitación a cruzar las fronteras
Un dedo nos señala, acusador. Lo vemos en la estación de tren, en el museo, en puertas, ventanas y vidrieras. ¿Quién fue?, grita en silencio la obra de Graciela Sacco. Ése es el intimidante título elegido por la artista rosarina para este proyecto, con el que participará de la primera edición de Bienalsur. No estará sola: unos 300 colegas y curadores se sumarán en más de 30 ciudades de 16 países a esta ambiciosa iniciativa impulsada desde Buenos Aires.
"La bienal intenta ser una herramienta de integración regional", dijo a LA NACION su director general, Aníbal Jozami. El rector de la Universidad Nacional de Tres de Febrero (Untref) se inspiró en las memorias de Jean Monnet, considerado uno de los "padres" de la Unión Europea. "Él dijo que si la Unión Europea hubiera empezado por una integración cultural en lugar de económica, el resultado hubiera sido mucho mejor − agregó −. Uno de los objetivos de Bienalsur es crear canales de comunicación que permitan a la gente sentirse parte de un mismo circuito."
Disponível em: www.lanacion.com.ar. Acesso em: 24 ago. 2017
apontar as diversas obras artísticas expostas em Buenos Aires.
inspirar as transformações econômica e política de países europeus.
acusar artistas que expõem suas obras em locais pouco tradicionais.
promover a socialização entre diferentes artistas e a população em geral.
realizar exposições artísticas sobre eventos esportivos como os Jogos Olímpicos.
Disponível em: http://inversorsalud.com.ar. Acesso em: 18 ago. 2017.

condicionando-o a exercer atividades comunitárias.
ora incluindo-se nas ações, ora ordenando-o informalmente.
ora instruindo-o em seus atos, ora reprimindo-o em suas falhas.
adicionando vozes e posturas divergentes às ações dos moradores.
impondo-se como voz de autoridade de um órgão governamental.
No hablarás con acento andaluz en el telediario de las 9 Hace unos...
No hablarás con acento andaluz en el telediario de las 9
Hace unos días salió publicado que el obispado de Salamanca ha pedido a las hermandades de Semana Santa que eviten usar expresiones andaluzas durante las procesiones arguyendo que "suenan mal".
Aunque es una noticia aparentemente local y sin otro interés que el de seguir los cotilleos de los cofrades y capillitas salmantinos, lo cierto es que recoge uno de los estereotipos lingüísticos más extendidos: lo mal que hablan los andaluces.
Lo que los hablantes percibimos subjetivamente como acentos buenos y malos suele ser producto de la influencia cultural y del poder recalcitrante que dejaron ciertas regiones históricamente hegemónicas. El habla de Castilla se convirtió en la de prestigio porque era la forma de hablar propia del lugar de donde emanaba el poder. El acento de la clase dominante pasó a tener prestigio social y se convirtió a ojos del conjunto de los hablantes en deseable, mientras que las formas de hablar de las zonas alejadas de los centros de poder pasaron a ser consideradas provincianas y propias de gentes pobres e incultas.
La televisión tiene un enorme poder en lo que a representación y normalización cultural se refiere. De la misma manera que esperamos que la televisión pública recoja los distintos intereses y sensibilidades de la población, sería muy deseable ver reflejado y celebrado todo el abanico de diversidad lingüística de la sociedad en que vivimos y abandonar de una vez el monocultivo del castellano central que copa nuestras pantallas. Y hoy, día de Andalucía, es un buen día para reclamarlo.
MELLADO, E. A. Disponível em: www.eldiario.es. Acesso em: 18 ago. 2017.
soberania de um falar sobre o outro.
estranheza perceptiva do falar andaluz.
luta dos andaluzes pela diversidade linguística.
hegemonia de um sotaque com base no prestígio social.
visão estereotipada dos próprios andaluzes acerca de seu falar.
Em um ecossistema é observada a seguinte teia alimentar: O menor...
Em um ecossistema é observada a seguinte teia alimentar:

O menor nível trófico ocupado pelas aves é aquele do qual elas participam como consumidores de
primeira ordem.
segunda ordem.
terceira ordem.
quarta ordem.
quinta ordem.
O elemento ferro é essencial em nossa alimentação, pois ajuda a...
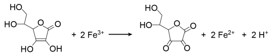
O elemento ferro é essencial em nossa alimentação, pois ajuda a prevenir doenças como a anemia. Normalmente, na alimentação é ingerido na forma de Fe3+, sendo necessário o uso de agentes auxiliares de absorção, como o ácido ascórbico (vitamina C), cuja ação pode ser representada pelo esquema reacional a seguir.

A ação do ácido ascórbico ocorre por meio de uma reação de
eliminação.
substituição.
oxirredução.
neutralização.
hidrogenação.
No final do século XIX, muitos cientistas estavam interessados nos...

ânions.
cátions.
prótons.
elétrons.
partículas alfa.
No Autódromo de Interlagos, um carro de Fórmula 1 realiza a curva S...
No Autódromo de Interlagos, um carro de Fórmula 1 realiza a curva S do Senna numa trajetória curvilínea. Enquanto percorre esse trecho, o velocímetro do carro indica velocidade constante.
Quais são a direção e o sentido da aceleração do carro?
Radial, apontada para fora da curva.
Radial, apontada para dentro da curva.
Aceleração nula, portanto, sem direção nem sentido.
Tangencial, apontada no sentido da velocidade do carro.
Tangencial, apontada no sentido contrário à velocidade do carro.
Para se deslocar e obter alimentos, alguns mamíferos, como morcegos e...
Para se deslocar e obter alimentos, alguns mamíferos, como morcegos e golfinhos, contam com a sofisticada capacidade biológica de detectar a posição de objetos e animais pela emissão e recepção de ondas ultrassônicas.
O fenômeno ondulatório que permite o uso dessa capacidade biológica é a
reflexão.
difração.
refração.
dispersão.
polarização.
Os feromônios de insetos são substâncias responsáveis pela...
Os feromônios de insetos são substâncias responsáveis pela comunicação química entre esses indivíduos. A extração de feromônios para uso agronômico no lugar de pesticidas convencionais geralmente é inviável, pois são encontrados em baixa concentração nas glândulas de armazenamento. Uma das formas de solucionar essa limitação é a síntese em laboratório dos próprios feromônios ou de isômeros que apresentem a mesma atividade. Suponha que o composto apresentado seja um feromônio natural e que seu tautômero seja um potencial substituto.

Com base na estrutura química desse feromônio, seu potencial substituto é representado pela
substância:





As células fotovoltaicas (placas semicondutoras compostas de...
As células fotovoltaicas (placas semicondutoras compostas de silício) são os componentes principais dos painéis solares e são capazes de converter, com certa eficiência, parte da energia dos raios solares em energia elétrica. Essa conversão é causada pelo fenômeno físico denominado “efeito fotoelétrico”, que pode ocorrer em uma variedade de materiais, incluindo metais e semicondutores.
Na superfície dos metais, a sequência de eventos que caracteriza esse efeito, de forma
simplificada, é a
absorção de fótons e a emissão de elétrons.
absorção de elétrons e a emissão de fótons.
emissão de fótons e a absorção de elétrons.
absorção e a emissão de elétrons.
absorção e a emissão de fótons.