Exercícios para o ENEM (325)
Foram encontradas 6013 questões
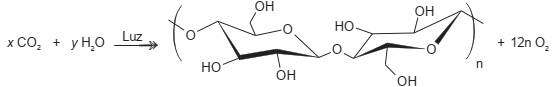
As plantas realizam fotossíntese pela captura do gás carbônico...
As plantas realizam fotossíntese pela captura do gás carbônico atmosférico e, juntamente com a água e a luz solar, produzem os carboidratos. No esquema está apresentada a equação desse processo, em que as letras x e y representam os coeficientes estequiométricos da reação.

Quais são os valores dos coeficientes x e y da equação balanceada de produção do carboidrato e oxigênio?
A figura é uma representação esquemática de uma estação de...
A figura é uma representação esquemática de uma estação de tratamento de água. Nela podem ser observadas as etapas que vão desde a captação em represas até a distribuição à população. No intuito de minimizar o custo com o tratamento, foi proposta a eliminação da etapa de adição de hipoclorito de sódio e o resultado foi comparado com o da água tratada em todas as etapas.

Caso fosse aceita a proposta apresentada, qual seria a
mudança principal observada na qualidade da água que
seria distribuída às residências?
Presença de gosto.
Presença de cheiro.
Elevação da turbidez.
Redução significativa do pH.
Elevação do teor de bactérias.
Grande parte da atual frota brasileira de veículos de passeio tem...
Grande parte da atual frota brasileira de veículos de passeio tem tecnologia capaz de identificar e processar tanto o etanol quanto a gasolina. Quando queimados, no interior do motor, esses combustíveis são transformados Progresso da reação Progresso da reação Progresso da reação em produtos gasosos, num processo com variação de entalpia menor que zero (∆H < 0). Esse processo necessita de uma energia de ativação, a qual é fornecida por uma centelha elétrica.
O gráfico que esboça a variação da energia potencial no
progresso da reação é representado por:





Polímeros biodegradáveis são polímeros nos quais a degradação...
Polímeros biodegradáveis são polímeros nos quais a degradação resulta da ação de microrganismos de ocorrência natural, como bactérias, fungos e algas, podendo ser consumidos em semanas ou meses sob condições favoráveis de biodegradação. Na ausência de oxigênio, ocorre a biodegradação anaeróbica, conforme representação esquemática simplificada.

Durante esse processo, há a formação de produtos que podem ser usados para a geração de energia. Um desses produtos é encontrado no estado físico de menor agregação da matéria e pode ser diretamente usado como combustível.
BRITO, G. F. et al. Biopolímeros, polímeros biodegradáveis e polímeros verdes.
Revista Eletrônica de Materiais e Processos, n. 2, 2011 (adaptado).
O produto que apresenta essas características é:
CO2
CH4
H2O
CResíduo
CBiomassa
Alguns recipientes de cozinha apresentam condutividade térmica...
Alguns recipientes de cozinha apresentam condutividade térmica apropriada para acondicionar e servir alimentos. Assim, os alimentos acondicionados podem manter a temperatura, após o preparo, por um tempo maior. O quadro contém a condutividade térmica (k) de diferentes materiais utilizados na produção desses recipientes.

Considerando recipientes de mesma espessura, qual o
material recomendado para manter o alimento aquecido
por um maior intervalo de tempo?
I
II
III
IV
V
Um produto, obtido industrialmente da eletrólise de solução aquosa...
Um produto, obtido industrialmente da eletrólise de solução aquosa de cloreto de sódio, tem sido amplamente empregado na indústria, por exemplo, na fabricação de papéis, tecidos e sabões. Normalmente, esse produto é usado na desobstrução de encanamentos e sumidouros, pois é capaz de reagir com gorduras. No entanto, a sua manipulação exige cuidados, pois é altamente corrosivo, podendo, em contato com a pele, provocar vermelhidão, irritação ou “queimaduras” de tecidos vivos. Além disso, se o frasco do produto for abandonado aberto por um longo período de tempo, ele pode absorver CO2, convertendo-se em um sal.
Esse produto industrial é o
cloro molecular, Cl2.
ácido clorídrico, HCl.
ácido sulfúrico, H2SO4 .
hidróxido de sódio, NaOH.
carbonato de sódio, Na2CO3 .
A Floresta Amazônica é uma “bomba” que suga água do ar vindo do...
A Floresta Amazônica é uma “bomba” que suga água do ar vindo do oceano Atlântico e do solo, e a faz circular pela América do Sul, causando, em regiões distantes, as chuvas pelas quais os paulistas desejavam em 2014.
GUIMARÃES, M. Dança da chuva: a escassez de água que alarma o país tem relação
íntima com as florestas. Pesquisa Fapesp, n. 226, dez. 2014 (adaptado).
O desmatamento compromete essa função da floresta, pois sem árvores
diminui o total de água armazenada nos caules.
diminui o volume de solos ocupados por raiz.
diminui a superfície total de transpiração.
aumenta a evaporação de rios e lagos.
aumenta o assoreamento dos rios.
O consumo excessivo de sal de cozinha é responsável por várias...
O consumo excessivo de sal de cozinha é responsável por várias doenças, entre elas a hipertensão arterial. O sal rosa é uma novidade culinária pelo seu baixo teor de sódio se comparado a de outros sais. Cada 1 g desse sal contém cerca de 230 mg de sódio contra os cerca de 400 mg de sódio encontrados nessa mesma quantidade de um sal de cozinha tradicional. Estima-se que no Brasil a dose diária de consumo de sal de cozinha seja de 12 g, e a dose máxima recomendada é de menos de 5 g por dia. Considere a massa molar do sódio igual a 23 g/mol.
MILL, J. G. et al. Estimativa do consumo de sal pela população brasileira:
resultado da Pesquisa Nacional de Saúde 2013. Rev. Bras. Epidemiol.,
n. 22, 2019 (adaptado).
Considerando-se a dose estimada de consumo de sal de cozinha no Brasil, em 30 dias um indivíduo que substituir o sal de cozinha tradicional pelo sal rosa promove uma redução na quantidade de sódio ingerida, em mol, mais próxima de
1,1.
2,7.
3,6.
6,3.
9,9.
Ao longo do processo evolutivo, adaptações anatômicas e...
Ao longo do processo evolutivo, adaptações anatômicas e fisiológicas permitiram a sobrevivência de plantas às condições dos diferentes ambientes habitados. O quadro apresenta exemplos de cinco plantas com diferentes características.

FAHN, A.; CUTLER, D. Xerophytes. Berlin: Gebruder Borntraeger, 1992 (adaptado).
Qual dessas plantas é adaptada a ambientes com
disponibilidade restrita de água?
I
II
III
IV
V
O crescimento vegetal pode ser influenciado tanto pela disponibilidade...
O crescimento vegetal pode ser influenciado tanto pela disponibilidade de nutrientes como por substâncias reguladoras. Na hidroponia, técnica de cultivar hortaliças sem solo, as raízes ficam suspensas em meio líquido contendo solução nutritiva controlada para otimizar o crescimento da planta.
Para garantir um crescimento satisfatório dessas hortaliças, a solução nutritiva empregada nessa técnica
deve conter quantidades adequadas de
lipídeos.
enzimas.
minerais.
vitaminas.
carboidratos.